ABOUT THE JOURNAL

The Jambura Journal of Biomathematics (JJBM) is a premier, peer-reviewed academic journal published by the Department of Mathematics, Faculty of Mathematics and Natural Sciences, Universitas Negeri Gorontalo, Indonesia. Established with the vision of becoming a leading scientific publication in Southeast Asia, JJBM serves as a vital platform for researchers, academicians, and practitioners to share original research articles and comprehensive review papers. The journal is deeply committed to exploring and explaining complex biological phenomena through rigorous mathematical approaches, serving as a critical bridge between theoretical mathematics and the life sciences.

Read More

JOURNAL IDENTITY

Editor-in-Chief : Dr. Hasan S. Panigoro, M.Si.
Journal Name : Jambura Journal of Biomathematics
Abbreviation : Jambura J. Biomath.
E-ISSN : 2723-0317
Frequency : Quarterly, 4 issues per year (March, June, September, and December)
Review Process : Single Blind Review
Language : English
DOI prefix : https://doi.org/10.37905/jjbm
Indexing : SCOPUS (International), SINTA-1 (Indonesian Accreditation)
Publisher : Department of Mathematics, Universitas Negeri Gorontalo
License : CC-BY-NC

JOURNAL SCOPES

Jambura Journal of Biomathematics covers a broad spectrum of topics at the intersection of mathematics, computation, and applied research. We invite submissions in areas such as:

This scope focuses on mathematical models—such as differential equations and stochastic processes—to understand how biological populations fluctuate over time and space, and how evolutionary forces like mutation, genetic drift, and natural selection shape species diversity and adaptive traits across generations.
This area involves the use of quantitative compartmental models (e.g., SIR, SEIR) and network-based approaches to analyze the transmission dynamics of human, animal, and plant pathogens, ultimately helping to predict disease outbreaks, calculate reproduction numbers, and evaluate the effectiveness of public health interventions like vaccines and quarantines.
This scope centers on the holistic mathematical modeling of complex biological systems—such as gene regulatory networks and intracellular signaling cascades—alongside the development of novel computational algorithms to analyze large-scale multi-omics data and decode intricate molecular mechanisms.
Research in this category applies mathematical rigor and control theory to the design, construction, and optimization of artificial biological pathways, genetic circuits, and cellular factories, ensuring their robust and predictable behavior for next-generation bioengineering technologies.
This area is dedicated to the development and application of sophisticated statistical methods, probabilistic models, Bayesian inference, and machine learning algorithms specifically tailored to handle complex, high-dimensional life science datasets and rigorously validate mathematical models against empirical biological evidence.
This scope bridges biomathematics with bioeconomic applications by employing mathematical models to design optimal, sustainable harvesting and bioprocessing strategies in agriculture, forestry, and fisheries, ensuring that resource extraction maximizes economic yield without crossing critical ecological thresholds.
Exploring the intersection of mathematical biology, economics, and environmental policy, this area utilizes bioeconomic models and game theory to evaluate the economic impacts of biodiversity loss, assign value to ecosystem services, and optimize the allocation of limited funds for effective conservation strategies.
This scope applies mathematics to human physiology, pathology, and clinical treatments, encompassing areas like oncology modeling, cardiovascular dynamics, and pharmacokinetics/pharmacodynamics (PK/PD) to assist in personalized medicine, clinical trial design, and the diagnosis of complex diseases.
Submissions in this category use advanced optimization algorithms and optimal control theory (e.g., Pontryagin's Maximum Principle) to identify the most mathematically effective interventions in biology and medicine, such as optimal scheduling for multi-drug cancer therapies or optimal time-dependent harvesting policies.
This area focuses on developing and implementing advanced numerical methods, finite element analyses, and fast stochastic simulation algorithms that leverage parallel and high-performance computing (HPC) architectures to overcome the computational bottlenecks of large-scale biomathematical simulations.
This scope utilizes mathematical models, frequently employing differential equations, to study the complex interactions between organisms and their abiotic environments, analyzing phenomena such as food web dynamics, spatial pattern formation, traveling waves of invasive species, and the resilience of ecological networks against climate change.

CALL FOR REVIEWERS AND EDITORS

2026-04-04

Serving as an editorial board member or reviewer for a scholarly journal is an important step in academic and professional development. We invite experts in relevant fields to contribute as reviewers and editors for the Jambura Journal of Biomathematics.

Please complete the registration form through the following link:
REGISTRATION FORM

OPEN NEW SUBMISSION: Jambura Journal of Biomathematics

2026-04-04

Jambura Journal of Biomathematics, indexed in SCOPUS and SINTA 1, invites researchers and academics to submit their original research articles for the upcoming issue.

This journal publishes research in biomathematics and the application of mathematical approaches in life sciences, including but not limited to: mathematical biology, epidemiological modeling, ecology, bioinformatics, genetics, and dynamical systems in biology.

Detailed information on the aims and scope can be found at:
https://jjbm.fmipa.ung.ac.id/index.php/ejournal/aimscopes

Submit your manuscript via:
https://jjbm.fmipa.ung.ac.id/index.php/ejournal/submission/wizard

Authors must prepare their manuscripts in accordance with the journal template and author guidelines available at:
https://jjbm.fmipa.ung.ac.id/index.php/ejournal/authorguidelines

We look forward to your valuable contributions.

ANNOUNCEMENT: Continuity of Publication and Peer-Review Process

2026-03-18

We hereby inform that all manuscripts published on this website are a continuation of publications from the previous website:
https://ejurnal.ung.ac.id/index.php/JJBM/index

Manuscripts that are currently under the peer-review process on the previous website will continue to be processed there until a final decision is reached. Manuscripts that are accepted will subsequently be published on this website.

This announcement is made for your information and consideration. Thank you for your attention and cooperation.

Vol. 7 No. 1: March 2026

Jambura Journal of Biomathematics, Volume 7, Issue 1, March 2026, has been officially published. This issue contains 6 sections, 12 articles, 223 pages, 19 affiliations, and 9 countries.

Published: 30-03-2026

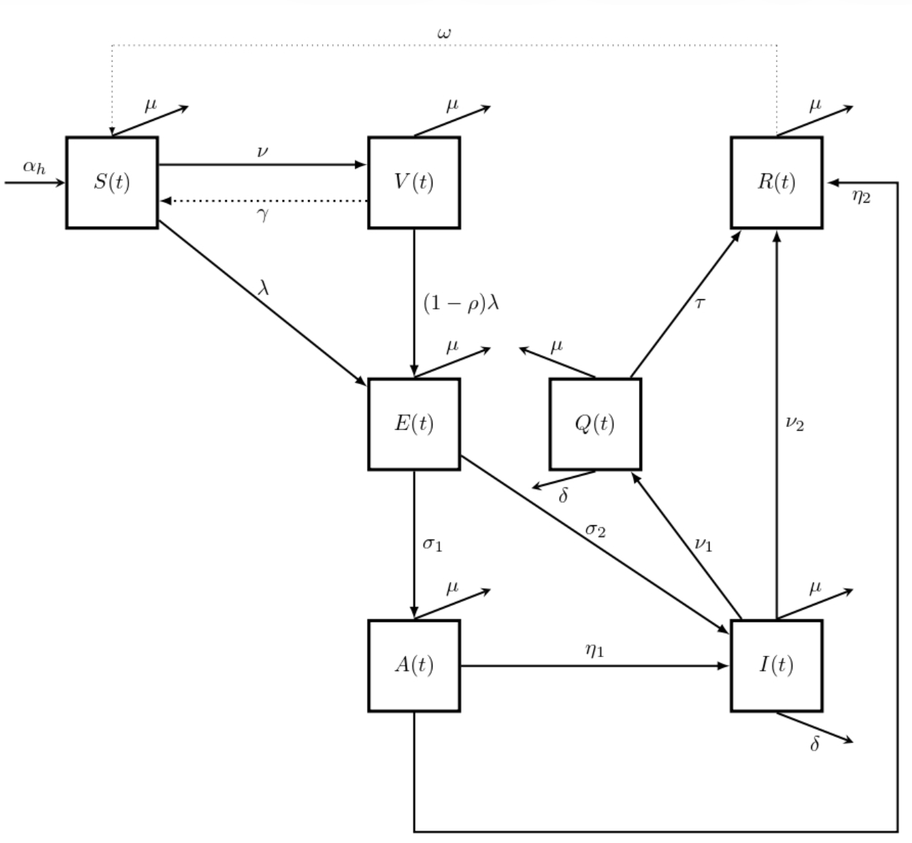
Mathematical Modeling of COVID-19: An Optimal Control Approach

Pages: 1-27 Viewed: 114 times Downloaded: 42 times
DOI: https://doi.org/10.37905/jjbm.v7i1.2

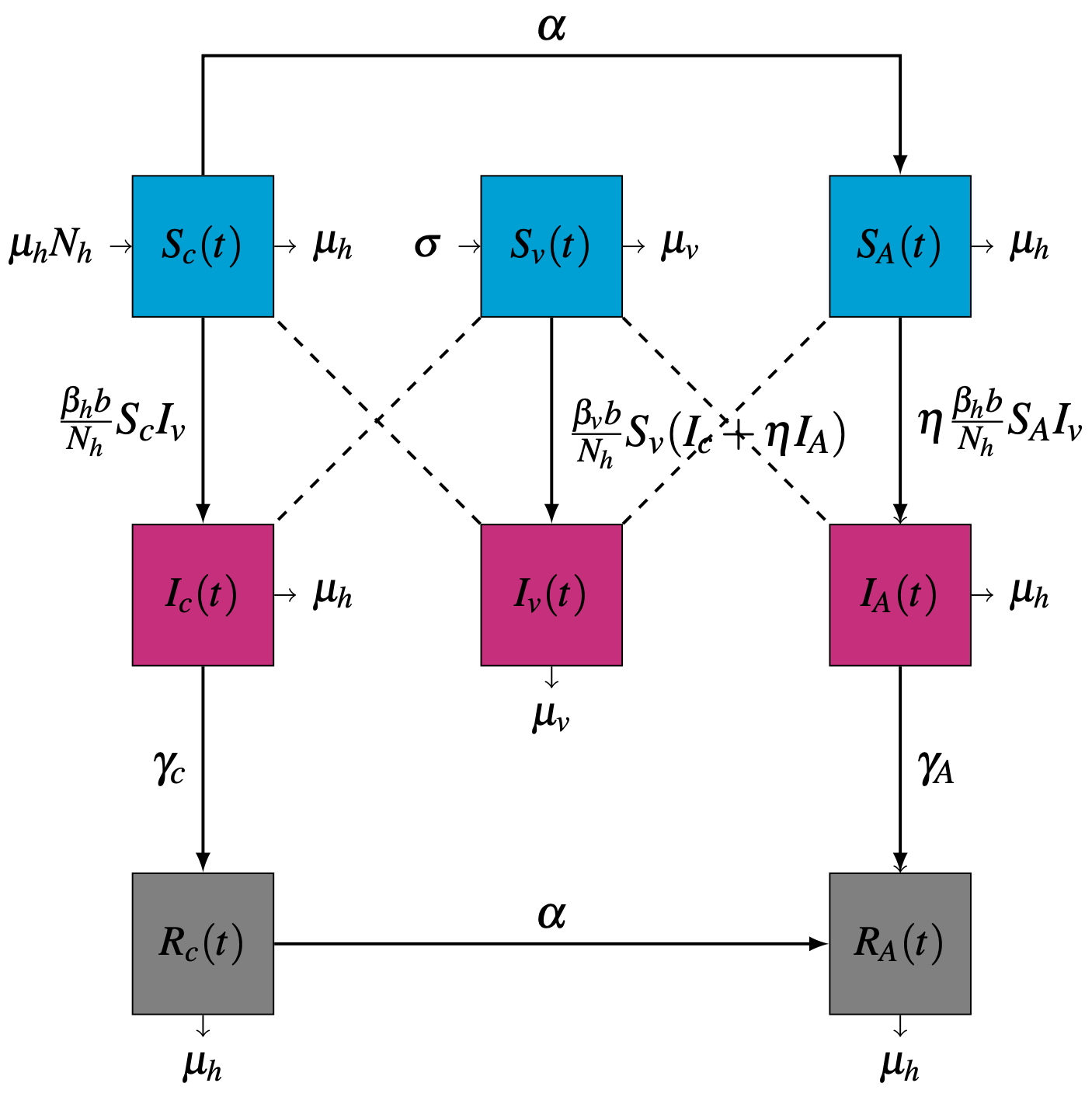
Analyzing Dengue Transmission Through a Two-Age-Class Host Population Model

Pages: 28-41 Viewed: 33 times Downloaded: 39 times
DOI: https://doi.org/10.37905/jjbm.v7i1.6

Critical waves in a nonlocal dispersion delayed susceptible-infected-confined-quarantined-recovered outbreak model with general incidence function

Pages: 98-122 Viewed: 39 times Downloaded: 35 times
DOI: https://doi.org/10.37905/jjbm.v7i1.15

Cost-Effectiveness and Optimal Control of Hantavirus Transmission in Rodent Populations

Pages: 123-135 Viewed: 57 times Downloaded: 48 times
DOI: https://doi.org/10.37905/jjbm.v7i1.16

Optimal control of HIV transmission model with pre-ART counselling and treatment

Pages: 136-151 Viewed: 39 times Downloaded: 30 times
DOI: https://doi.org/10.37905/jjbm.v7i1.17

Study on Listeriosis Transmission Dynamics including Time Lag and Media-Driven Behavioral Change

Pages: 176-196 Viewed: 156 times Downloaded: 35 times
DOI: https://doi.org/10.37905/jjbm.v7i1.25

The Hopf Bifurcation of the Dynamics of Behavior an Ecological Model

Pages: 211-223 Viewed: 31 times Downloaded: 40 times
DOI: https://doi.org/10.37905/jjbm.v7i1.27

Anaysis of Predator-Prey Dynamics Using Holling Type I & II Response Functions with Kleptoparasitism and Anti-Predator Behavior

Pages: 42-59 Viewed: 62 times Downloaded: 70 times
DOI: https://doi.org/10.37905/jjbm.v7i1.8

Mathematical Modeling and Analysis on Nitrogen Fixation for Controlling Sunflower Oil Production

Pages: 60-74 Viewed: 334 times Downloaded: 85 times
DOI: https://doi.org/10.37905/jjbm.v7i1.11

Bibliometric Analysis Of Machine Learning Applications In EEG For Epileptic Seizure Diagnosis Using Biblioshiny: Trends And Conceptual Structures

Pages: 75-97 Viewed: 24 times Downloaded: 22 times
DOI: https://doi.org/10.37905/jjbm.v7i1.12

Non-Linear Function Approximation for Predicting Binding Affinity of PPAR-Targeting Antidiabetic Compounds from Molecular Descriptors

Pages: 152-175 Viewed: 53 times Downloaded: 31 times
DOI: https://doi.org/10.37905/jjbm.v7i1.18

Hemodynamic Modeling of Branch Retinal Artery Occlusion Involving Asymmetric Vascular Stenosis

Pages: 197-210 Viewed: 31 times Downloaded: 30 times
DOI: https://doi.org/10.37905/jjbm.v7i1.26
View All Issues

ABSTRACT AND INDEX